FLAG不同级别工程师薪资大曝光
今天,我们以Facebook, Google, Amazon, Microsft为例,来看北美IT企业里面不同级别工程师的待遇差异。
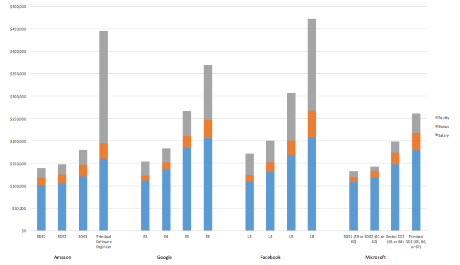
从Total Annual Compensation 来看,在level 1 和 level 2 工程师中,Google 工程师的薪资待遇是最高的,因为Google给的 cash 和 stock 都是非常不错的。在level 3 和 level 4 工程师中,Google 和 Facebook 给的待遇都是比较高的。
相比较之下,Microsoft 和 Amazon 工程师的薪资待遇就比较差一点。比如,Microsoft SDE2 工程师,他的 base salary 是 $123,000 ,股票是 $20,000。而 对应同级别的 Facebook E2工程师的 base 是 $138,500,股票为 $44,500。
具体的数字可以参照下表:
此外,从不同级别的薪资涨幅来看,Google和FB的薪资涨幅也是最大的。
而从 salary, bonus 和 Equity 的占比来看,Google 和 Facebook 相对给予员工更多有涨幅空间的报酬。
转自九章算法


No comments yet